Loading...
OpenAI offers multiple ChatGPT models in 2026: GPT-5.5, GPT-5.5 pro, GPT-5.4, GPT-5.4 pro, GPT-5.4 mini, GPT-5.4 nano, GPT-5 mini, GPT-5 nano, GPT-5, GPT-4.1. Each model differs in reasoning ability, speed, context window, and pricing. These guides compare all available ChatGPT models with benchmarks, use-case recommendations, and pricing breakdowns. AI Toolbox (formerly ChatGPT Toolbox), a Chrome extension with 20,000+ users, works with every ChatGPT model and adds folders, search, and export to organize your conversations.
OpenAI offers GPT-5.5, GPT-5.5 pro, GPT-5.4, GPT-5.4 pro, GPT-5.4 mini, GPT-5.4 nano, GPT-5 mini, GPT-5 nano, GPT-5, GPT-4.1 in 2026. Older models (GPT-4o, o3, o4-mini, and earlier) were retired on February 13, 2026 and replaced by the GPT-5.x family. Free users get a default everyday model, while Plus and Pro subscribers access the full lineup including the GPT-5.5 pro and GPT-5.4 pro reasoning-grade variants.
The best ChatGPT model depends on your task. GPT-5.5 pro and GPT-5.4 pro are designed for the most demanding reasoning workloads, GPT-5.5 and GPT-5.4 offer the best balance of speed and intelligence, and GPT-5.4 mini, GPT-5.4 nano, GPT-5 mini, and GPT-5 nano are ideal for quick everyday tasks. AI Toolbox (20,000+ users) works with all models and helps you organize conversations by model type using folders.
GPT-5.5 is OpenAI's most capable current ChatGPT model. GPT-5.4 sits one tier below and ships with pro, mini, and nano variants. The pro variants of either model use more compute per response for harder reasoning, coding, and math tasks. The mini and nano variants prioritize speed and cost.

Compare ChatGPT's three reasoning modes side-by-side: Instant for fast responses, Thinking for chain-of-thought, and Pro for the highest reasoning depth. Token limits, decision rules, and when to use each — verified May 2026.

Complete guide to ChatGPT token limits per model. Context windows, chunking strategies, and model comparison table for G

A historical comparison of ChatGPT O1 vs GPT-4. Both models were retired in 2026 in favor of the GPT-5.x family. Use this guide to understand the reasoning vs general-purpose tradeoff that the GPT-5.5 pro and GPT-5.4 pro variants now address.

Compare all current ChatGPT models (GPT-5.5, GPT-5.5 pro, GPT-5.4, GPT-5.4 pro, GPT-5.4 mini, GPT-5.4 nano, GPT-5 mini, GPT-5 nano, GPT-5, GPT-4.1) with features, speeds, pricing, and use cases. Find the perfect model for your needs with our comprehensive 2026 guide.

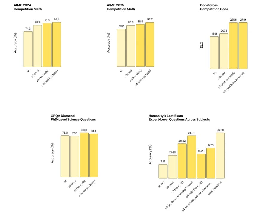
A historical look at OpenAI's o3 and o4-mini models, retired by OpenAI on February 13, 2026. The current GPT-5.5 pro, GPT-5.4 pro, and GPT-5.4 mini variants now cover the reasoning, visual understanding, and tool-use roles these models played.

Comprehensive guide to ChatGPT pricing. Explore different plans, understand costs, and learn how to choose the right option for your needs. Discover the best ChatGPT pricing.

A historical look at ChatGPT 4.5, retired by OpenAI in 2026 in favor of the GPT-5.x family. Covers the improvements it brought (better intent recognition, lower hallucinations, image input, real-time web integration) and how those capabilities now ship in GPT-5.5 and GPT-5.4.

A historical look at the ChatGPT 3.5 model, retired by OpenAI and superseded by the GPT-5.x family. Covers its features, applications, and how it compares to current models like GPT-5.5, GPT-5.4, and GPT-4.1.

A historical look at ChatGPT o1, the early reasoning-focused model. Now retired and superseded by the GPT-5.5 pro and GPT-5.4 pro reasoning variants in the current GPT-5.x family.